< Lección 1. Estratificación del riesgo tromboembólico y hemorrágico en el paciente oncológico

2. Estratificación del riesgo tromboembólico >> 2.3. Estratificación del riesgo de recurrencia

También procedente del estudio CATCH se ha publicado el análisis de diversos biomarcadores, como son el factor tisular, D-dímero, P-selectina soluble, factor VIII y proteína C reactiva [51]. Este análisis estaba previamente definido y se asociaron con la recurrencia los factores que se detallan en la (Tabla 24). Dos factores puramente clínicos, tumores hepatobiliares y compresión venosa, se asociaron de forma significativa con el riesgo de recurrencia con mayor peso que los biomarcadores.

El registro RIETE trató de validar de forma infructuosa el score de Ottawa sobre una muestra de 11.123 pacientes con diagnóstico de cáncer y ETV [52]. El C-estadístico de la muestra fue de 0,58 (IC 95%: 0,56-0,61), con una pobre sensibilidad, especificidad y VPP, no recomendando su uso en la práctica clínica y sugiriendo definir un nuevo score.

En un estudio multinacional, multicéntrico, prospectivo, con 117 pacientes se objetivó que los niveles de D-dímero no se asocian de forma significativa con la recurrencia de ETV [53]. Sin embargo, los niveles de P-selectina basales elevados identificaron a los pacientes con alto riesgo de recurrencia (HR: 4,0; IC 95%: 1,1-14). De nuevo, el score de Ottawa no consiguió estratificar adecuadamente el riesgo de recurrencia: la recurrencia de ETV fue del 7,8% en pacientes con una puntuación de ≤ 0 puntos en comparación con el 11,0% para aquellos con una puntuación de ≥ 1 punto (HR: 1,3; IC 95%: 0,39-4,5).

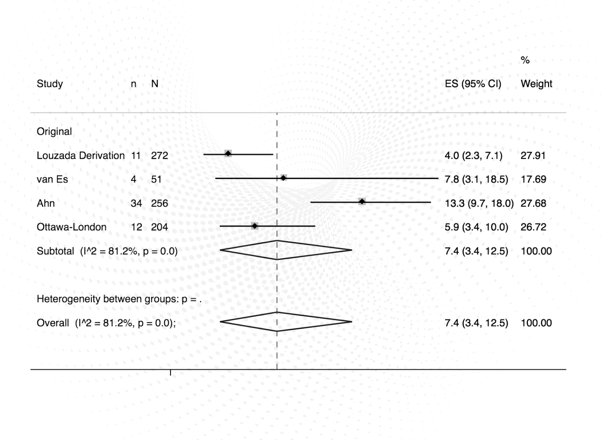
Sin embargo, a pesar de toda esta evidencia en contra del empleo del score de Ottawa y que ninguna de las principales guías nacionales e internacionales de ETV asociada a cáncer haya propuesto ninguna recomendación basada en el riesgo estimado por este modelo predictivo, un reciente metaanálisis publicado [54] sugiere que el score de Ottawa puede ser de utilidad en la detección de recurrencias. Esta revisión sistemática de la literatura incluyó 9 estudios con un total de 14.963 pacientes y se extendió hasta diciembre de 2018. Utilizando el score original de dos categorías, se clasificó al 49,3% de los pacientes como alto riesgo, con una sensibilidad de 0,71 (IC 95%: 0,6-0,8) y una incidencia de ETV recurrente a 6 meses del 18,6% (IC 95%: 13,9-23,9) (Figura 14). En el grupo de bajo riesgo (Figura 15), la incidencia de recurrencia fue del 7,4% (IC 95%: 3,4-12,5).

El score modificado clasificó al 19,8% de los pacientes como de bajo riesgo, con una sensibilidad de 0,92 (IC 95%: 0,4-1,0) y una incidencia de ETV recurrente a 6 meses del 2,2% (IC 95%: 1,6-2,9) (Figura 16). En el grupo de alto riesgo (Figura 17), la incidencia de recurrencia fue del 10,2% (IC 95%: 6,4-14,6). En la Figura 18 se recogen los resultados de grupo de riesgo intermedio.

Los autores concluyen que el score de Ottawa original puede identificar de forma fiable a los pacientes de alto riesgo de eventos recurrentes, mientras que el score modificado es más adecuado para identificar a los pacientes con cáncer y bajo riesgo de recurrencia de ETV. Como limitaciones de este metaanálisis cabe mencionar una significativa heterogeneidad entre los estudios y cierto sesgo de publicación, especialmente en los estudios de validación del score modificado. Una fuente importante de heterogeneidad fue la gran diferencia en la incidencia de ETV recurrente entre los estudios. Por otro lado, la mayoría de los datos incluidos eran antiguos e incluían pacientes que recibían terapias anticuadas contra el cáncer, lo que genera incertidumbre en su aplicabilidad en el contexto oncológico actual. Por último, no se tuvo en cuenta el tipo de anticoagulante utilizado (HBPM o fármaco antivitamina K) y ninguno de los pacientes estudiados fue tratado con ACOD.

Posteriormente, en 2002, se publica un segundo metaanálisis sobre la capacidad de predicción del score de Ottawa [55]. Este metaanálisis obtiene unos resultados diferentes al publicado por Delluc et al. [54]. Se incluyen 7 estudios y 3.413 pacientes y se demuestra un AUC de 0,53 (IC 95%: 0,48-0,57) con una sensibilidad, especificidad y precisión del 48,6, 55,8 y 55,2%, respectivamente. Los autores concluyen que los resultados obtenidos no apoyan el uso del score de Ottawa para evaluar el riesgo de ETV recurrente en pacientes con cáncer.

Un nuevo modelo predictivo de riesgo de recurrencia ha sido recientemente propuesto y publicado en junio de 2023 [56]. Este modelo se desarrolló con metodología de inteligencia artificial, machine learning y procesamiento del lenguaje natural (PLN), junto con un modelo de riesgo de sangrado que se analizará posteriormente. Este modelo propuesto incluye 9 variables clínicas fácilmente obtenibles en la práctica diaria, como son:

  • Niveles de hemoglobina.
  • Cifra de plaquetas.
  • Leucocitosis.
  • Edad del paciente.
  • Niveles de creatinina.
  • Presencia de metástasis.
  • Tipo de evento: TVP o embolia de pulmón.
  • Adenocarcinoma.
  • Historia familiar de ETV.

Entre las variables propuestas, destaca la historia familiar de ETV. Esto sugiere la necesidad y el valor de analizar la carga genética de los pacientes no solo en el primer evento, sino también el ámbito de la recurrencia. Por el momento, este modelo aún no ha sido validado externamente y hasta que este hecho no se consiga no podrá ser recomendado su uso de forma rutinaria.

Por tanto, persiste la necesidad de buscar nuevos modelos predictivos de recurrencia que nos permitan personalizar la duración y la intensidad de la terapia anticoagulante.